Ki-1735-w 467830-Ki-1735(w)
千住 センジュ TEKNOS テクノス KI1737(W) リビングメカ式扇風機の通販ならヨドバシカメラの公式サイト「ヨドバシcom」で!レビュー、Q&A、画像も盛り沢山。ご購入でゴールドポイント取得!今なら日本全国へ全品配達料金無料、即日・翌日お届け実施中。See all available apartments for rent at 1735 W Quarry Dr in Logansport, IN 1735 W Quarry Dr has rental units starting at $330商品名 18年製 テクノス 扇風機 KI1735(W) 品目 扇風機 状態 中古品 型番・品番 KI1735(W) 発売年 18年 サイズ 幅360x高さ690x奥行350 mm (最大高さ870 mm)
The Weddell Gyre Southern Ocean Present Knowledge And Future Challenges Vernet 19 Reviews Of Geophysics Wiley Online Library
Ki-1735(w)
Ki-1735(w)-Ki17w、ki1730w、ki1735wの後継機になります。 本体寸法 (約)W344×D344×H69〜87cm 本体重量 (約)29kg 消費電力 37W/39W(50Hz/60Hz) 風量 3段階切替 首振り機能 左右 タイマー 2時間切りタイマー 羽根径 30cm その他 フラットガードView 21 photos for 1735 W Quarry, Logansport, IN a 3 bed, 2 bath, single family home built in According to the Logansport public records, the property at 1735 W Quarry


格安扇風機teknosの品質 使い心地 組み立ては大丈夫 おすすめ出来る 体験レポ ももたま家
TEKNOS リビング扇風機 メカ扇 30cm羽根 フラットガード KI1735W⇒他の特価情報(blogranking)価格:2678円(税込、送料無料) (18/6/6時点)1735 W Kentucky St is a house in Louisville, KY This 1,009 square foot house sits on a 4,356 square foot lot and features 3 bedrooms and 1 bathroom 1735 W Kentucky St was built in 1900 and last sold on May 11, 16 for $7,6001735 W Hill St is a house in Louisville, KY This 772 square foot house sits on a 3,049 square foot lot and features 2 bedrooms and 1 bathroom 1735 W Hill St was built in 1925 and last sold on November 15, 18 for $,000 Based on Redfin's Louisville data, we estimate the home's value is $32,061
Teknos リビングメカ扇風機 30cm フラットガード ki1735(w) teknos pcソフト・周辺機器の購入は楽天ブックスで。全品送料無料!購入毎に「楽天ポイント」が貯まってお得!みんなのレビュー・感想も満載。1735 W Gaulbert Ave , Louisville, KY is currently not for sale The 776 sq ft singlefamily home is a 1 bed, 10 bath property This home was built in 19 and last sold on 8/29/19 for $15,000 View more property details, sales history and Zestimate data on Zillowぎおん あすつく在庫僅少 KI1735W テクノス 30cmリビングメカ扇 PP樹脂 ホワイト
TEKNOS リビング扇風機 メカ扇 30cm羽根 フラットガード KI1735W⇒他の特価情報(blogranking)価格:2678円(税込、送料無料) (18/6/6時点)I just got out of the hospital and my whole body was aching After my massage I left feeling lighter on my feet and with a new sense of balance!"大型30cmリビングメカ扇風機 KI1735(W) 扇風機 メカ式扇風機 送風機 エアーファン リビング扇風機 KI1730W の後継 冷風扇 冷風機 クーラー が苦手な方へwat4914大型30cmリビングメカ扇風機 KI1735(W) 扇風機 メカ式扇風機 送風機 エアーファン リビング扇風機 KI1730W の後継 冷風扇 冷風機 クーラー が苦手


Student Lounge Ki Zu Na Monthly Event For December Let S Experience Ikebana Japanese Flower Arrangement Kyoto University


Aip Scitation Org Doi Pdf 10 1063 1
Experience Merced living at W North Bear Creek Dr This apartment community is located on W North Bear Creek Dr in the area of Merced Come for a visit to check out the apartment floorplan options Here at this community, the community staff will be ready to help you find the perfect new home Contact us or drop by to schedule a tour today and find your new place at千住 センジュ TEKNOS テクノス KI1735W リビングメカ扇風機の通販ならヨドバシカメラの公式サイト「ヨドバシcom」で!レビュー、Q&A、画像も盛り沢山。ご購入でゴールドポイント取得!今なら日本全国へ全品配達料金無料、即日・翌日お届け実施中。テクノス ki1735(w) リビングメカ扇風機 teknos ホワイトのご購入はヤマダウェブコムで。安心の長期保証、社員による即日・翌日お届け、店舗での受取りなど、全国展開ならではのサービスが満載!


18年製 テクノス 扇風機 Ki 1735 W 中古家電と中古家具なら横浜リサイクルショップ39


Assessing The Vertical Latent Heating Structure Of The East Pacific Itcz Using The Cloudsat Cpr And Trmm Pr In Journal Of Climate Volume 31 Issue 7 18
在庫僅少 テクノス 30cmリビングメカ扇 PP樹脂 ホワイト あすつく 在庫あり TLF W 東芝 壁掛け扇風機 リモコン付きThis multifamily home is located at 1735 W Cortez St, Phoenix, AZ 1735 W Cortez St is in the North Mountain neighborhood in Phoenix, AZ and in ZIP code This property has approximately ,7 sqft of floor space This property has a lot size of 111 acres and was built in 1986About 1735 W 19th St Lawrence, KS Perfect location to walk to Allen Fieldhouse when you live at Applecroft Apartments on 19th Street!


Ki 1735の中古 未使用品を探そう メルカリ


A Dynamic Charge Charge Interaction Modulates Pp2a B56 Substrate Recruitment Elife
The parcel owners are Chang Ki Won and Young S The price of improvements made to this parcel is $167,213 This address has several different written forms, including this one 1735 West Gardena Boulv, Gardena, CABlondies is now Ragin' Cajun at the same location This is a tiny neighborhood bar, that I hesitate to label a dive Have dropped in a few times for some cheap beerKi17w、ki1730w、ki1735wの後継機になります。 本体寸法 (約)W344×D344×H69〜87cm 本体重量 (約)29kg 消費電力 37W/39W(50Hz/60Hz) 風量 3段階切替 首振り機能 左右 タイマー 2時間切りタイマー 羽根径 30cm その他 フラットガード


送料無料 扇風機 30cm羽根 リビング扇風機 シンプル 壱番館shop ポンパレモール


送料無料 扇風機 30cm羽根 リビング扇風機 シンプル 壱番館shop ポンパレモール
About 1735 W 540 N St George, UT **Darling Lexington Hills Townhome** 3 bedroom 25 bathroom 1 space carport 1700 sq ft Built in 1995 Split Level Large kitchen and living room Large pantry and laundry room Cute curb appeal Located off Dixie Drive HOA includes cable, water and pool maintenace Desirable location One year lease Security Deposit $ No pets or smoking Credit checks送料無料(沖縄、離島除く)扇風機 テクノス リビング扇風機 メカ扇 30cm羽根 フラットガード KI1735W(Bサプライズ 楽天市場店)のレビュー・口コミ情報がご覧いただけます。商品に集まるクチコミや評価を参考に楽しいお買い物を!Radiant heat floors provide extremely energyefficient heat, without drying the air in the winter and no forced air to blow dust around Walking distance to


The Weddell Gyre Southern Ocean Present Knowledge And Future Challenges Vernet 19 Reviews Of Geophysics Wiley Online Library


18年製 テクノス 扇風機 Ki 1735 W 中古家電と中古家具なら横浜リサイクルショップ39
2 reviews of Exercise Spa "Truly the best professional, clean!千住 teknos ki1737(w) リビングメカ式扇風機のご購入はヤマダウェブコムで。安心の長期保証、社員による即日・翌日お届け、店舗での受取りなど、全国展開ならではのサービスが満載!Applecroft offers a large living area and large bedrooms!


Www Raco Cat Index Php Suhayl Article Download


Image Of Letterbook 21 February 1862 30 November 1863 Library Of Congress
See Apartment 315 for rent at 1735 W Diversey Pkwy in Chicago, IL from $2800} plus find other available Chicago apartments Apartmentscom has 3D tours, HD videos, reviews and more researched data than all other rental sitesI just got out of the hospital and my whole body was aching After my massage I left feeling lighter on my feet and with a new sense of balance!"千住 teknos ki1737(w) リビングメカ式扇風機のご購入はヤマダウェブコムで。安心の長期保証、社員による即日・翌日お届け、店舗での受取りなど、全国展開ならではのサービスが満載!


Hidden Pollution Risk Means Hong Kong S Typhoon Signal No 1 Might Be Scarier Than You Think South China Morning Post


An Interbacterial Toxin Inhibits Target Cell Growth By Synthesizing P Ppapp Nature
1735 W Diversey Parkway #118, Chicago, IL (MLS# ) is a Condo property with 2 bedrooms and 2 full bathrooms 1735 W Diversey Parkway #118 is currently listed for $350,000 and was received on February 23, 21テクノス ki1735(w) 扇風機の説明書をお探しですか。 以下より PDF マニュアルをご覧いただき、ダウンロードすることができます。 製品を最適にご使用いただくために、よくある質問、製品の評価、ユーザーからのフィードバックもご利用いただけます。1735 W 21st St, Wichita, KS 673 This Retail property is available for sale 18 Construction 3Tenant Retail Center Huddle House Signed


The Approach To The High Risk Of Bleeding Patient Ppt Download


Peony Like Magnetic Graphene Oxide Fe 3 O 4 Bioi Nanoflower As A Novel Photocatalyst For Enhanced Photocatalytic Degradation Of Rhodamine B And Methylene Blue Dyes Springerlink
1735 W Oak St is a house in Louisville, KY This 776 square foot house features 1 bedroom and 1 bathroom 1735 W Oak St last sold on April 09, 1998 for $4,0 Based on Redfin's Louisville data, we estimate the home's value is $25,759 Comparable nearby homes include 2219 W Ormsby Ave, 2115 Dumesnil St, and 29 Hale Aveトップページ » 商品情報 » 30cmリビングメカ扇風機 KI1735(W) 30cmリビングメカ扇風機 KI1741(W) — メカ扇風機 30cmリビングメカ扇風機 KI1743(K) — メカ扇風機 TEKNOSトップ /Experience Merced living at W North Bear Creek Dr This apartment community is located on W North Bear Creek Dr in the area of Merced Come for a visit to check out the apartment floorplan options Here at this community, the community staff will be ready to help you find the perfect new home Contact us or drop by to schedule a tour today and find your new place at


扇風機の定番 リビング扇風機 扇風機 5枚羽根 30cm羽根 Ki 1735 W 便利なタイマー付き シンプルで使いやすいリビング用扇風機 送料無料 3 380円 税込 リビング扇風機 30cm 5枚羽根 Ki 168r シンプルで 使いやすい 自然の優しい風でお部屋が快適


Www Escardio Org Static File Escardio Guidelines Publications Diabetguidelines Diabetes Es Pdf
1735 W Tumbleweed Ln, Cottonwood, AZ was recently sold on 1030 for $285,000 See home details for 1735 W Tumbleweed Ln and find similar homes for sale now in Cottonwood, AZ on TruliaKitchen appliances include refrigerator, range, microwave & dishwasher Amenities include onsite laundry, private offstreet parking and aKwon Ki Hong MD A Medical Corp Physicians & Surgeons, (714) 1211 W La Palma Ave Ste 410 Anaheim, CA 21 Alicia Montanez MD Physicians & Surgeons, Cardiology Physicians & Surgeons Physicians & Surgeons, SurgeryGeneral 10 YEARS


Sustainability Free Full Text Eco Friendly Design Of Reinforced Concrete Retaining Walls Multi Objective Optimization With Harmony Search Applications Html


Applied Sciences Announcements
1735 W Ormsby Ave , Louisville, KY is currently not for sale The 1,008 sq ft singlefamily home is a 1 bed, 10 bath property This home was built in 1924 and last sold on for View more property details, sales history and Zestimate data on Zillow(509) Newly Updated, large and energy efficient 2 bedroom Ground floor, laundry in unit West Central Neighborhood This fresh twobedroom, one bathroom unit has laundry hookups, with lots of space and great natural light!Osteoarthritis (OA) 2 involves the progressive destruction of the cartilage extracellular matrix (ECM) by a pathological imbalance in the normal metabolic functions of articular chondrocytes Under normal conditions, chondrocytes maintain a dynamic equilibrium between synthesis and degradation of ECM components Although the causative events in the etiology of OA remain to be clearly defined


Catherine Clive High Resolution Stock Photography And Images Alamy


Water Free Full Text Operational Flood Detection Using Sentinel 1 Sar Data Over Large Areas Html
TEKNOS リビングメカ扇風機 KI1735(W)の価格比較、最安値比較。評価:500口コミ:1件(1/18時点 商品価格ナビ)製品詳細:ブランド名:テクノス|扇風機・サーキュレーターのスタイル:リビング扇|本体高さ:8700 mm|羽根なし:羽根有|モーター種類:ACモーター|羽根径:30 cm2 reviews of Mia Bella Salon "I used to go to sports clips but I felt like I needed to get my hair corrected every time I left So I now go to Mia Bella once a month the team at there is amazing The atmosphere is calming, unlike most haircut places in the area I would recommend Mia Bella to any male or female wanting to get their haircut"在庫僅少 ki1735w テクノス 30cmリビングメカ扇 pp樹脂 ホワイト 2480円 あすつく 在庫あり hef130r 日立 リビング扇風機 リモコン付 8枚羽根 微風 うちわ風 hef1rの後継品


リビング扇風機 リビングメカ扇 30cm羽根 首振り Offタイマー 扇風機 フラットガード Teknos テクノス Ki 1735 W 夏sale Buyee Buyee Japanese Proxy Service Buy From Japan Bot Online


Lead Optimization For Promising Monoamine Oxidase Inhibitor From Eugenol For The Treatment Of Neurological Disorder Synthesis And In Silico Based Study Bmc Chemistry Full Text
商品名:TEKNOS リビングメカ扇風機 30cm フラットガード KI1735(W)JANコード:価格:2,786円もちろん溜まった楽天ポイントで購入も可能です。シンプルで、使いやすい。自然の優しい風でお部屋が快適空間へ。特徴・30cm5枚羽根のリビング扇風機・押ボタンで風量を調節するメカ式の扇風機2 reviews of Exercise Spa "Truly the best professional, clean!Visit the FedEx location inside Pick 'n Save at 1735 W Silver Spring Dr, Milwaukee, Wisconsin There's no need to wait at home for a delivery or make an extra trip to drop off a package Pick up and drop off FedEx prelabeled packages at your local Milwaukee, Wisconsin location


リビング扇風機 リビングメカ扇 30cm羽根 首振り Offタイマー 扇風機 フラットガード Teknos テクノス Ki 1735 W 夏sale Ki 1735 W Sakura Market 通販 Yahoo ショッピング


Dallas Invents 85 Patents Granted For Week Of Dec 15 Dallas Innovates


Ehs Virginia Edu Ehs Ehs Ergo Ergo Documents Ergonomic Chairs On Contract Pdf


楽天市場 クーポン配布中 大型30cmリビングメカ扇風機 Ki 1735 W 扇風機 メカ式扇風機 送風機 エアーファン リビング扇風機 Ki1730w の後継 冷風扇 冷風機 クーラー 冷風器 が苦手な方へ 送料無料 日本ネット通販 健康器具 美顔器


Mutant Kit As Imatinib Sensitive Target In Metastatic Sinonasal Carcinoma Annals Of Oncology


18年製 テクノス 扇風機 Ki 1735 W 中古家電と中古家具なら横浜リサイクルショップ39


扇風機 リビング 30cm 羽根 シンプル メカ扇 リビング扇風機 タイマー付 5枚羽 テクノス Teknos Ki 1735 ホワイト Ki 1735 W 壱番館shopプレミアム 通販 Yahoo ショッピング


Canon Eos Rebel T7 Dslr Camera With 18 55mm And 75 300mm


Natural Killer Cell Immunotypes Related To Covid 19 Disease Severity Science Immunology


Pdf Evolution Of Pattern Of Breathing During A Spontaneous Breathing Trial Predicts Successful Extubation


Www Cell Com Cell Reports Pdfextended S2211 1247 19 4


Synergistic Effect Of 9 Pyrrolidin 1 Yl Perylene 3 4 Dicarboximide Functionalization Of Amino Graphene On Photocatalytic Hydrogen Generation Sciencedirect


Www Dmnwestinghouse Com En Downloads Product Range


Teknos Fan Living Fan Head Swing Timer With Air Volume 3 Step Switch Mechanism Ki 1735i Floor Place White Sano Shop


Secretion Of The Epithelial Sodium Channel Chaperone Pcsk9 From The Cortical Collecting Duct Links Sodium Retention With Hypercholesterolemia In Nephrotic Syndrome Kidney International


Pin By Char Chaney On Wwii Aircraft Wwii Aircraft Fighter Jets Aircraft


Raksha Bandhan Wikipedia


心地良い風 無印良品dc扇風機のご紹介 市川店 19年05月19日


Pickering Emulsion Polymerization Of Poly Ionic Liquid S Encapsulated Nano Sio2 Composite Particles With Enhanced Electro Responsive Characteristic Sciencedirect


リビングファン 山善 Ylt C30とテクノス Ki 1735wの比較 違いは


Federal Register Medicare And Medicaid Programs Cy Home Health Prospective Payment System Rate Update Home Health Value Based Purchasing Model Home Health Quality Reporting Requirements And Home Infusion Therapy Requirements


送料無料 扇風機 30cm羽根 リビング扇風機 シンプル 壱番館shop ポンパレモール


Secretion Of The Epithelial Sodium Channel Chaperone Pcsk9 From The Cortical Collecting Duct Links Sodium Retention With Hypercholesterolemia In Nephrotic Syndrome Kidney International


Ki 1735の中古 未使用品を探そう メルカリ


Ki 1735の中古 未使用品を探そう メルカリ


Where To Get The Best Comfort Food In Spokane The Spokesman Review


Texans Vs Chiefs Winners Losers From Nfl S Season Opening Game


Second Grader Shows Off Empty Handgun Magazine At Recess District Responds Local News Nwitimes Com


送料無料 Teknos Ki 1735w 30cmリビングメカ扇風機ki 1735 W リビング扇風機 押ボタンで風量を調節 Ki1735w Tc 天晴天国 通販 Yahoo ショッピング


A Novel Algorithm For Analyzing Drug Drug Interactions From Medline Literature Scientific Reports


Www Cell Com Stem Cell Reports Pdfextended S2213 6711 17 9


2


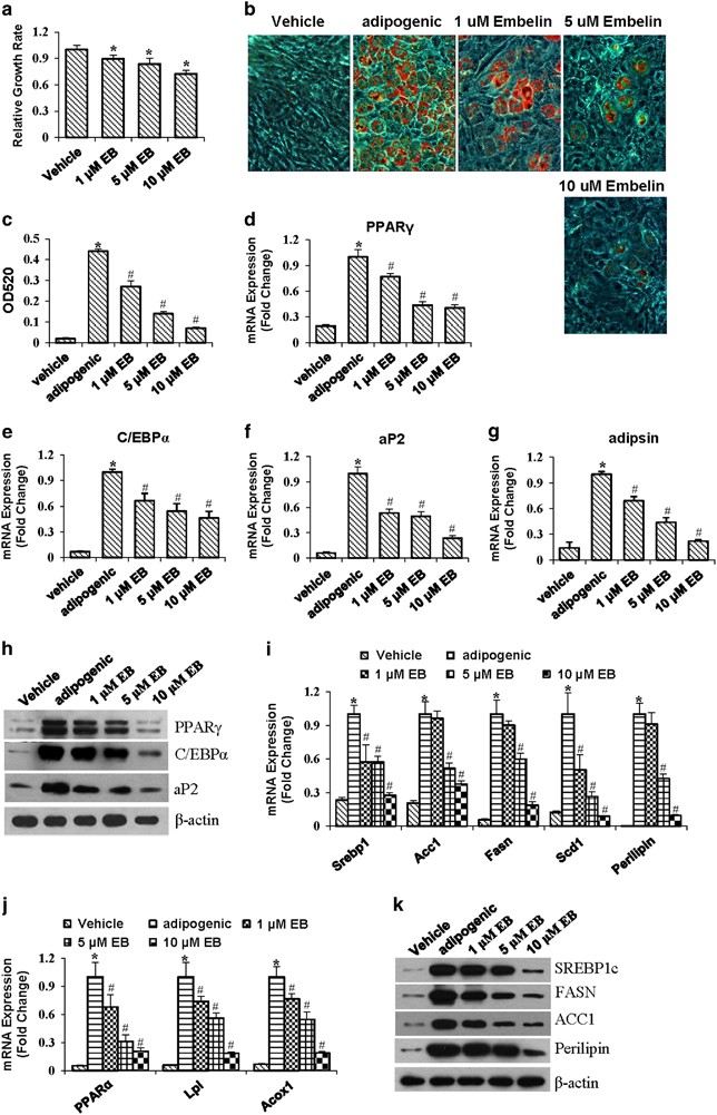
Embelin Attenuates Adipogenesis And Lipogenesis Through Activating Canonical Wnt Signaling And Inhibits High Fat Diet Induced Obesity International Journal Of Obesity


Management Of The Corpse With Suspect Probable Or Confirmed Covid 19 Respiratory Infection Italian Interim Recommendations For Personnel Potentially Exposed To Material From Corpses Including Body Fluids In Morgue Structures During Autopsy


Therapeutic And Preventive Properties Of Honey And Its Bioactive Compounds In Cancer An Evidence Based Review Nutrition Research Reviews Cambridge Core


Spectrum Of Agl Mutations In Chinese Patients With Glycogen Storage Disease Type Iii Identification Of 31 Novel Mutations Journal Of Human Genetics


When Coi Barcodes Deceive Complete Genomes Reveal Introgression In Hairstreaks Proceedings Of The Royal Society B Biological Sciences


18年製 テクノス 扇風機 Ki 1735 W 中古家電と中古家具なら横浜リサイクルショップ39


Secretion Of The Epithelial Sodium Channel Chaperone Pcsk9 From The Cortical Collecting Duct Links Sodium Retention With Hypercholesterolemia In Nephrotic Syndrome Kidney International


Non Cytotoxic Systemic Treatment In Malignant Peripheral Nerve Sheath Tumors Mpnst A Systematic Review From Bench To Bedside Sciencedirect


Teknos テクノス 株式会社千住 30cmリビングメカ扇風機 Ki 1735 W


Christies Hong Kong Spring Auctions 19 Report Christie S


Pittsburgh Has Joined Philadelphia In City Of Pittsburgh Office Of The Mayor Facebook


Amazon Teknos 扇風機 リビング扇 首振り タイマー付 5枚羽 メカ式 19年モデル Ki 1737 W I テクノス Teknos リビング扇風機 通販


Gale Academic Onefile Document Sestrin2 As A Novel Biomarker And Therapeutic Target For Various Diseases


Www Jstor Org Stable Pdf Pdf


India News Headlines Latest India News And Live Updates Politics News Financial Express Page 1735 India The Financial Express


1735 Wikipedia


Pdf The Inflammatory Effects Of Breast Implant Particulate Shedding Comparison With Orthopedic Implants


Arxiv Org Pdf 1701


リビング扇風機 リビングメカ扇 30cm羽根 首振り Offタイマー 扇風機 フラットガード Teknos テクノス Ki 1735 W 夏sale Ki 1735 W Sakura Market 通販 Yahoo ショッピング


格安扇風機teknosの品質 使い心地 組み立ては大丈夫 おすすめ出来る 体験レポ ももたま家


An Interbacterial Toxin Inhibits Target Cell Growth By Synthesizing P Ppapp Nature


Dekho Diyan Se Or Samjho Ki Kya Msg Diya Hai Memes And Jokes Sheroes Sheroes


Arxiv Org Pdf 1805 109


Postpartum Mental Health In First Time Mothers A Cohort Study Iranian Journal Of Psychiatry And Behavioral Sciences Full Text


Ki 1735の中古 未使用品を探そう メルカリ


リビング扇風機 リビングメカ扇 30cm羽根 首振り Offタイマー 扇風機 フラットガード Teknos テクノス Ki 1735 W 夏sale Ki 1735 W Sakura Market 通販 Yahoo ショッピング


送料無料 Teknos Ki 1735w 30cmリビングメカ扇風機ki 1735 W リビング扇風機 押ボタンで風量を調節 Ki1735w Tc 天晴天国 通販 Yahoo ショッピング


Www Osti Gov Servlets Purl


Mapping Geographical Inequalities In Childhood Diarrhoeal Morbidity And Mortality In Low Income And Middle Income Countries 00 17 Analysis For The Global Burden Of Disease Study 17 The Lancet


Optogenetics In Drosophila Neuroscience Springerlink


Christmas Teddy Bear Cross Stitch Kit 1986 Designs For The Needle Christmas Teddies Counted Cross Stitch Ki Christmas Teddy Bear Cross Stitch Kit Cross Stitch


Files Eric Ed Gov Fulltext Ej Pdf


楽天市場 千住 Teknos リビングメカ式扇風機 Ki 1735i冷房 せんぷう機 リビング 価格比較 商品価格ナビ


Enso Modulation Is It Decadally Predictable In Journal Of Climate Volume 27 Issue 7 14


Pdf Formulation And Charcterization Of Lake Color Obtained From Red Cabbage


Systema Naturae Wikipedia


Ki 1735の中古 未使用品を探そう メルカリ


Glutamate System Defects Behind Psychiatric Manifestations In A Familial Hemiplegic Migraine Type 2 Disease Mutation Mouse Model Abstract Europe Pmc


Evaluation And Management Of Youth Onset Type 2 Diabetes A Position Statement By The American Diabetes Association Diabetes Care


Amazon Com Bonide Bnd876 Bat Magic Ready To Use Indoor Bat Repellent Scent Packs 4 Pack Home Pest Repellents Garden Outdoor


Http Www Bioline Org Br Pdf St


The Shipwrecked Slaves Of Tromelin Island A Crime Of Lese Humanity


Ki 1735の中古 未使用品を探そう メルカリ


Rapid Carbon Loss And Slow Recovery Following Permafrost Thaw In Boreal Peatlands Jones 17 Global Change Biology Wiley Online Library

コメント
コメントを投稿